Панхроматическое слияние растров

Previous Top Next

ic_8673 Диалог позволяет повысить пространственное разрешение цветного растра с использованием панхроматического растра более высокого разрешения. Оба растра должны иметь одинаковую систему координат и располагаться в пространстве с перекрытием.

Для пересчета яркости пикселей используется один из трех способов:

1.Усреднение каналов, новое значение рассчитывается как:

где – новое значение мультиспектрального канала, – значение панхроматического канала, – старое значение RGB каналов.

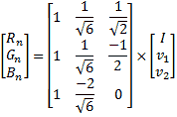
2.Преобразование IHS (Intensity-Hue-Saturation transformation). Значения RGB каналов пересчитываются в цветовое пространство IHS. Компонент яркости (Intensity) заменяется значением PAN канала и выполняется обратный пересчет в пространство RGB. Расчёты выполняются по формулам:

где – яркость, заменяемая значением PAN канала, и – компоненты тона (Hue) и насыщенности (Saturation), – старые значения каналов, – рассчитанные значения.

3.Преобразование Бровея (Brovey Transform, BT). Увеличивает визуальный контраст, но ухудшает спектральные характеристики. Формула:

где – рассчитанные значения каналов, – старые значения каналов, – среднее значение RGB каналов.