Панхроматическое слияние

Previous Top

Диалог панхроматического слияния вызывается кнопкой ic_8673.

 

_bm5503

 

Панхроматическое слияние позволяет повысить пространственное разрешение RGB изображений Landast 8 с 30м до 15м. Повышение разрешения происходит за счет слияния RGB изображений с панхроматическим каналом двойного разрешения.

Слияние выполняется для сцен, на которые есть RSW файл только с RGB каналами (2-3-4) и RSW файл с PAN каналом (8).

Реализовано три метода слияния:

1.Усреднение значений по каналам, новое значение рассчитывается как:

где – новое значение мультиспектрального канала, – значение панхроматического канала, – старое значение RGB каналов.

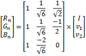
2.Преобразование по модели IHS (Intensity-Hue-Saturation). Значения RGB каналов пересчитываются в цветовое пространство IHS. Компонент яркости (Intensity) заменяется значением PAN канала и выполняется обратный пересчет в пространство RGB. Расчёты выполняются по формулам:

где – яркость, заменяемая значением PAN канала, и – компоненты тона (Hue) и насыщенности (Saturation), – старые значения каналов, – рассчитанные значения.

3.Преобразование Бровея (Brovey Transform, BT). Увеличивает визуальный контраст, но сильно ухудшает спектральные характеристики. Формула:

где – рассчитанные значения каналов, – старые значения каналов, – среднее значение RGB каналов.